Activar/Desactivar Leer Página
El pasado viernes, el ENARGAS dio a conocer el cuadro tarifario correspondiente a los servicios de distribución de gas por redes correspondientes a cada Licenciataria, que completan el precio del fluido en el Punto de Ingreso al Sistema de Transporte por cuenca de origen destinado a las bocas de carga de GNC.
A través de diversas Resoluciones publicadas en el Boletín Oficial, el Ente Nacional Regulador de Gas dio a conocer el cuadro tarifario correspondiente a los servicios de distribución de gas por redes de cada Licenciataria.
Lo hizo siguiendo las normativas dictadas por la Resolución 34/2016 que estableció los nuevos precios en PUNTO DE INGRESO AL SISTEMA DE TRANSPORTE, por cuenca de origen, del gas natural para abastecimiento a estaciones de suministro de GNC.
El Artículo 4° de la citada ordenanza dispuso “…que a partir del día 1 de mayo de 2016, las prestatarias de servicios de distribución de gas natural por redes deberán adquirir el gas natural destinado a estaciones de suministro de GNC de su zona o área de distribución. Las adquisiciones de las prestatarias se realizarán en conjunto con todo el volumen de gas que éstas adquieran para el cumplimiento de sus obligaciones de suministro de gas natural a sus usuarios de servicio completo”.
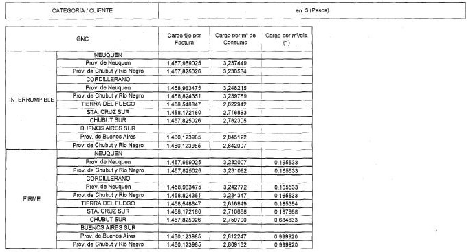
En virtud de ello, el organismo aprobó con vigencia a partir del 1° de mayo los cuadros tarifarios de cada licenciataria correspondientes a los usuarios de los servicios de distribución de gas por redes denominados Otros Usuarios Gas Natural Comprimido – Venta Firme “GNC” y Otros Usuarios Gas Natural Comprimido – Venta Interrumpible “GNC”.
A continuación, se detallan las nuevas tarifas discriminadas por Distribuidora:
Camuzzi Gas del Sur
Camuzzi Gas Pampeana
Distribuidora Gas del Centro
Gas Cuyana
Gas Natural Ban
Gasnor
Litoral Gas
Metrogas
DEJANOS TU COMENTARIO!